">
| 索引號 | 11500228709441663K/2024-00070 | 發文字號 | |
| 主題分類 | 其他 | 體裁分類 | 行政許可 |
| 發布機構 | 梁平區城市管理局 | 有效性 | |
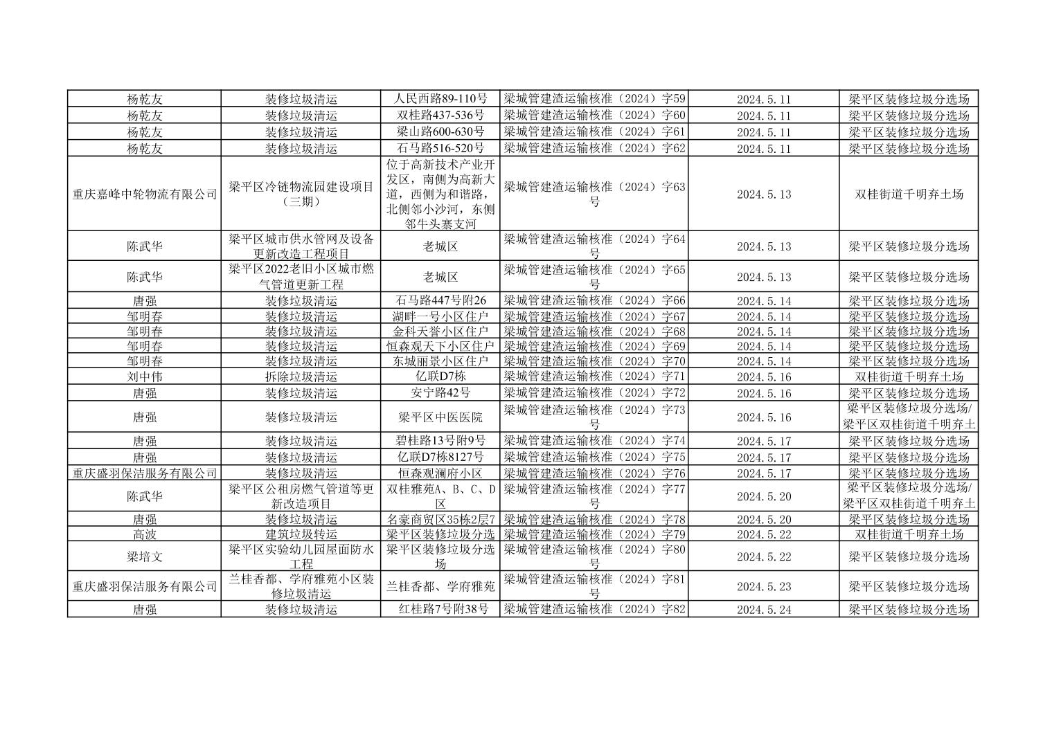
| 標題 | 重慶市梁平區城市管理局2024年行政許可事項第三次公示 | ||
| 成文日期 | 2024-06-05 | 發布日期 | 2024-06-05 |
| 索引號 | 11500228709441663K/2024-00070 |
| 發文字號 | |
| 主題分類 | 其他 |
| 體裁分類 | 行政許可 |
| 發布機構 | 梁平區城市管理局 |
| 有效性 | |
| 標題 | 重慶市梁平區城市管理局2024年行政許可事項第三次公示 |
| 成文日期 | 2024-06-05 |
| 發布日期 | 2024-06-05 |













